courbe suivante courbe précédente courbes 2D courbes 3D surfaces fractals polyèdres

CHAÎNETTE SPHÉRIQUE
Spherical catenary, Kugelkettenlinie



 
Courbe étudiée par Bobillier en 1829 et Gudermann en 1846.
Voir  : Paul Appell : cours de mécanique rationnelle, page 223

 
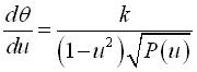
Equation différentielle :  (voir à chaînette générale).
Intégrale première en coordonnées cylindriques :
d'où :  (avec longitude,  latitude), 
soit, en posant  où , conduisant à une intégrale elliptique. 
Remarquer la minime différence avec la courbe du pendule sphérique, pour laquelle .

La chaînette sphérique est la ligne d'équilibre d'un fil pesant infiniment mince, homogène, flexible et inextensible inclus dans une sphère, en présence d'un champ de pesanteur uniforme. Comme toute chaînette, elle réalise, le minimum d'altitude du centre de gravité des courbes de longueur donnée passant par deux points donnés.

Comme pour les courbes du pendule sphérique, on obtient des courbes formées d'une suite d'ondulations joignant alternativement deux parallèles (obtenus pour les valeurs où le polynôme P ci-dessus s'annule), et transformées les unes des autres par rotation autour de Oz. La courbe est soit fermée, soit dense dans la zone comprise entre les deux parallèles.

Modèle réalisé avec povray par Alain Esculier


courbe suivante courbe précédente courbes 2D courbes 3D surfaces fractals polyèdres

© Robert FERRÉOL  2004